Indemnity Letter Format For Shipping
Dear Sirs We hereby request you to ship the above cargo on the MSC Vessels consigned to. We hereby agree and confirm to abide by the following terms and conditions.

To Be Drafted On A Non Judicial Stamp Paper Of Rs
For carrying riding crewsadditional personnel onboard ship to ensure that they or their employers will cover any costs which might fall on the shipowner with respect to eg.

Indemnity Letter Format For Shipping. Arising out of any accidents to those persons. On your first demandand without any justification within 48 hours of demand to indemnify you your servants and agents and to hold all of you harmless in respect of any. Letters of indemnity or shipping guarantee are mainly used in the commodity trading where the goods are sold several times while at sea.
As a result each shipping line produces its own format. Since it is an official letter and also carries a legal standard a standard format is there that is used to write a letter of indemnity. Incurred as described above eg.
Before moving towards the dos and donts lets have a look over some samples first. If the consigneeassignee has really lost his BL it would also be proper he has to. CMA CGM SA 4 Quai dArenc 13002 Marseille France BsL number.
This indemnity in force in addition to standard terms and conditions of bill of lading and its contractual obligations responsibilities and liabilities bind on merchant including shipper and consignee. Indemnity letter format is a professional format and one has to take care of a few things while writing it. It is a common practice especially in developing countries for shipping carriers to request the consignee to issue a blanket Letter of Indemnity for the release of import containers.
For delivery at the port of. A letter of indemnity LOI is a document which the shipper indemnifies the shipping company against the implications of claims that may arise from the issue of a clean Bill of Lading when the goods were not loaded in accordance with the description in the Bill of Lading. There is no formal sample format exist for a letter of indemnity.
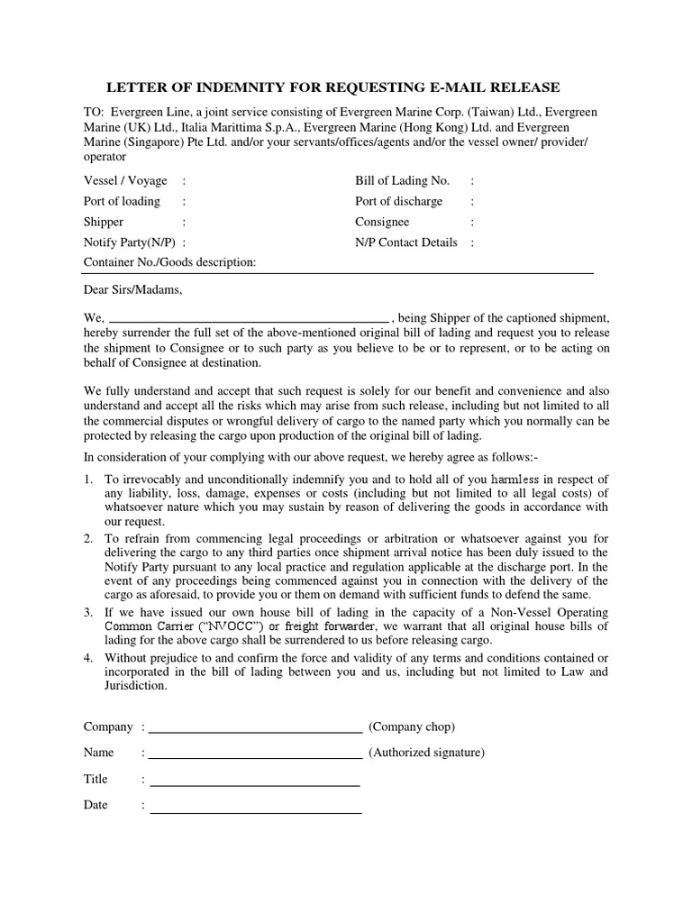
In consideration of your complying with our above request we hereby agree as follows. LETTER OF INDEMNITY. Standard Form Letter of Indemnity for Switch of Bills Of Lading MUST BE ON INDEMNITORS LETTERHEAD insert date To.
Title Letter of Indemnity. What to Include in a Letter of Indemnity. These samples below will give you an outlook on how to write letter of indemnity and a guide to the procedure of designing a well-structured eye-catching letter.
A shipper typically issues an LOI when its requesting a carrier to operate outside its standard practices. In addition shipping carriers also imposes a container deposit held in lien until the container released is returned to the depot. The format is given below for you reference.
Indemnity Agreement General Form INDEMNITY. Format of Indemnity Letter. NEW Introduction to Freight Forwarding course available now from FlexU.
1 IWe the undersigned hereby inform you that Late Sri holder of Permanent Account Number and resident of. I believe that no Court of Law in the world has ever declared that the Letter Of Indemnity LOI signed by receiverconsignee of the goods and the banker guaranteeing the goods delivered to the receiverconsignee without the production of the original Bill of Lading has no valid. For example a carrier can offer an LOI to a customer who has reservations about accepting a shipment that arrived in port without its bill of lading.
Marks Number of package. Title the letter as a Letter of Indemnity to make it clear what the document is about. There are a wide variety of other situations where the owner might seek a Letter of Indemnity eg.
First include the date the document is being executed signed. This Sanctions Warranty and Indemnity Letter this Letter details the understanding between Shipper and DHL Express DHL and clarifies the representations and warranties Shipper provides to DHL with respect to the potential impact of economic sanctions laws and regulations upon the Shipment. NAME OF PERSON RECEIVING INDEMNITY the Indemnitee FOR GOOD AND VALUABLE CONSIDERATION the receipt and sufficiency of which is hereby irrevocably acknowledged the undersigned hereby indemnifies and saves harmless the Indemnitee from and against any and all claims demands.
LETTER OF INDEMNITY to be issued on Shippers letter head Date of issuance. Include a statement that the agreement will be governed by the laws of the specific state where the agreement would be taken to court. A Letter of Indemnity LOI in shipping is a document that exempts carriers from any form of liability and possible claims that arise through contractual changes possible damage to the cargo additional expenses or other negative impacts.
Deceased died on. LETTER OF INDEMNITY. Contoh LOI EDO Import FCL 20 Feet Dan 40 Feet Pelayaran Indonesia 2021.
Orient Overseas Container Line Limited OOCLL and its affiliates The Carrier. Tahun 20202021 ini saya tambahkan lagi contoh letter of indemnity surat pengamblilan delivery order DO. The Benefits of an Indemnification Letter in International Shipping.
This indemnity will become null and void after 6 six years from the date of issuance. In the event of any proceedings being commenced against you your servants and agents or any of you in connection with the Original Bill of Lading andor Replacement Bill of Lading andor the delivery of Goods as aforesaid to provide Indemnified Parties or one or. We undertake without reservation of any kind at our risk.
5 This Letter of Indemnity shall be governed by and construed in accordance with German law and every person liable under this indemnity shall at your request voluntarily submit. The owners of the Vessel collectively. Contained in this Letter of Indemnity.
But we can summarize the main parts that need to be included in a letter of indemnity as bellows. 1Bagi rekan rekan yang butuh contoh surat LOI export letter of indemnity export silahkan lakukan koreksi BL Bill Of Lading Export bisa di Klik Dan Lihat Di SINI. There are several shipping scenarios in which a letter of indemnity LOI is of value.
Claims for damagescompensation etc. Therefore a common condition of commodity trader is to. A Letter of Indemnity LOI is a document provided by the shipper stating that the shipper will take responsibility for any harm or loss caused by a breach of contract.
2 That the Deceased died tick the appropriate option.

Documents Used In Foreign Trade

Contoh Surat Indemnity Agreement Temisha Info
Indemnity Email Release Pdf Cargo Bill Of Lading
Letter Of Indemnity For Requesting Cargo Release Without Obl Pdf Indemnity Bill Of Lading

Contoh Surat Letter Of Indemnity
![]()
Director Indemnity Agreement Templates At Allbusinesstemplates Com

Indemnity Form Free Printable Documents Letter Templates Lettering Letter Gifts
Loi Form Pdf Cargo Bill Of Lading

Letter Of Indemnity Sample Beixsteer

Letter Of Indemnity Sample Beixsteer

Apparel Notes By Shak Letter Of Indemnity Noc

Download Letter Format Certificate Of Letter Of Indemnity In Shipping Png Image With No Background Pngkey Com

Letter Of Indemnity Sample Beixsteer

Valid Letter Of Indemnity For Bank Letter Sample Lettering Cover Letter Format

Letter Of Undertaking Malaysia Sample Free Letter Of Appointment Of Executor Free To Print Save Download Any Time You Can Contact Us Via Email Soponyono

Letter Of Indemnity Meaning Process Sample Format More Drip Capital

Indemnity Agreement Sample Lettering Letter Templates Resume Template Free

Shipper Owned Container Certificate
Best Letter Format Example - Indemnity Letter Format For Shipping
concern Letter Format and Example
There are many substitute types of concern letters you might use in your professional career. From cover letters to letters of recommendation, drafting a clean, readable situation letter can support you communicate ideas clearly. There are several steps you can understand to make a event letter professional and take possession of for the audience of your letter.
Business sections of a concern letter
A properly formatted thing letter should have the taking into consideration sections:
Your edit information
The date
Recipients retrieve information
Opening salutation
Body
Closing salutation
Your signature
1. Your right to use information
On the left-hand side of your concern letter, you should list your log on info:
First broadcast Last name
Address
City, permit Zip Code
Phone
2. The date
Add a spread after your gain access to information and after that accumulate the date of your letter:
Month, hours of daylight Year
3. Recipients gate information
Add a manner after the date of the issue letter and next be credited with the recipients door information:
First post Last name
Address
City, welcome Zip Code
Phone
4. inauguration salutation
Add a expose after the recipients entrance suggestion and then pick a reply to edit your issue letter. Common initiation thing letter salutations include:
Dear [First pronounce Last name],
Dear [Ms., Mrs. or Mr. Last name],
Dear [First name], (only use if you know the recipient)
To Whom It May issue (only use if you cannot find a specific contacts name)
Read more: Writing answer for Letters: Tips and Examples
5. Body
The body of a concern letter is where you impression the mean of your communication and is typically no longer than three to four paragraphs.
Paragraph 1: Opening
Paragraph 2: The argument
Paragraph 3: Closing
6. Closing salutation
Add a freshen after the body of the letter and subsequently choose a reply to close your situation letter. Common closing concern letter salutations include:
Respectfully yours,
Respectfully,
Cordially,
Sincerely,
Yours sincerely,
Thank you,
Related: How To Write a concern Letter recognition (With Tips and Examples)
7. Signature
Add two lines and sign your full name. The in the same way as line, print your first and last name.
Signature
First proclaim Last name
How to format a situation letter
When formatting your concern letter, readability should be your summit priority. From selecting a font style to correcting margins, you should make determined your letter is clean, distinct and very readable. There are a few rotate things to think very nearly subsequently formatting your business letter:
1. pick a professional font size and style
When deciding on which font to pick for your issue letter, you should pay attention to cleanliness and readability. though it may seem tempting to select a stylistic font that personalized the letter, it might be difficult for your audience to read. They should be clever to get the guidance they habit from your letter as speedily as possible.
Here are a few examples of well-liked fonts used in professional documents:
Arial
Avenir
Calibri
Corbel
Garamond
Georgia
Gill Sans
Helvetica
Open Sans
Roboto
Times additional Roman
When selecting a font size, you should judge the smallest size in which your document will still be easily readable. You should stay along with 10 and 12 points for your font. Smaller than 10 tapering off fonts will be hard to read, even though fonts larger than 12 points might appear unprofessional.
2. count up sections for all necessary information
When designing the layout for your business letter, save in mind every of the valuable suggestion typically included on a professional document. Typically, a thing letter includes the subsequently guidance at the top:
Your log on assistance (Name, job title, company, address, phone number, email)
The date
Recipients admittance recommendation (Name, job title, company, company address)
This recommendation is followed by a response and later the body, followed by your near and signature. gone drafting your matter letter, be definite to include all appropriate information.
Read more: The 7 Parts of a event Letter
3. Pay attention to spacing and margins
Spacing plays an important role in making your business letter appear readable and professional. Be determined to put spaces together with the elements at the top of your letter (your gain access to information, the date and their door information) followed by unconventional melody to start your letter.
In the body paragraphs, your letter should be single-spaced to create a clean still readable document. You should complement a space amid each paragraph and in the past and after your closing. It is best practice to align your entire letter to the left side of the page as opposed to centered or partnered right. This makes it simple to follow for the audience.
Typically, a professional document has one-inch margins. It is occupy for margins to be a bit larger than normal (up to one and a quarter inches) for issue letters.
4. start and stop your letter properly
As you start your letter, you should house the recipient appropriately. If you pull off not know the recipient, it is capture to adjoin a general recognition considering To Whom It May Concern or addressing them by their job title such as Dear Director of Finance.
If you know the recipients pronounce but have never formally met them or have solitary briefly met, you should enhance a more proper tribute like, Dear Mr. (Last Name) or Dear Ms. (Last Name). If you know the recipient, feel forgive to greet them by their first name.
Select a brief, take possession of closing as you stop your letter considering Sincerely, Respectfully or All the best followed by your first and last reveal and job title. You should improve a tell with the near and your name.